北航新闻网4月22日电(通讯员 王琳)物理学院耿立升教授团队与国际前沿交叉科学研究院彭桓武科教合作中心申时行教授在四中子体系共振态研究中取得重要进展。团队基于核格点有效场论,在最大盒长约 30 fm 的有限体积中直接计算四中子体系的基态能量,并进一步借助有限体积散射理论描述二中子对之间的有效相互作用,对“四中子是否存在窄共振态”这一长期争议问题进行分析判断。相关研究成果近日以“Searching for the Tetraneutron Resonance on the Lattice”为题在《Physical Review Letters》发表。

已知的稳定原子核均由质子和中子共同构成。由于中子之间存在强核力的吸引作用,且无库仑排斥,人们很早就提出疑问:是否存在仅由中子组成的“原子核”?自20世纪60年代该问题被明确提出以来,它一直是核物理领域的重要前沿课题。在多中子系统中,四中子(tetraneutron)被认为是最有可能出现束缚态或共振态的候选者,因而吸引了大量理论与实验研究。尽管学界普遍认为稳定的四中子束缚态不可能存在,但关于其是否可能以共振态形式短暂出现,仍存在显著争议。

四中子系统因缺乏束缚子系统而极难从理论上给出“清晰判据”。不同实验在近阈值区域观测到的峰结构,究竟对应真正的窄共振,还是由末态相互作用/二中子关联造成的“相关峰”,一直存在分歧。针对这一关键问题,研究团队在不引入外加势阱的前提下,利用有限体积本身对四中子系统的约束,系统考察了四中子能量随盒长变化以及二中子-二中子散射相移的行为。

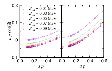
研究采用高精度 N3LO 手征相互作用和SU(4) 相互作用,系统计算了盒子大小从10 fm - 30 fm的四中子基态能量。研究采用平面波初始波函数,通过角动量投影计算了0+基态。结果发现四中子基态能量随盒长增大连续平滑下降,没有出现有限体积共振中的“能量停滞/平台”特征,这指向非共振行为。并且两种相互作用下计算的四中子基态能量是一致的,说明四中子基态能量对相互作用的细节并不敏感。

进一步地,团队利用 Lüscher 有限体积和二中子近似方法,通过计算中子-中子和中子-二中子的散射相移,得到了中子-二中子与中子-中子散射长度的比值的普适行为,没有发现碎裂效应,从而确认该方法可以用于计算二中子-二中子散射相移。

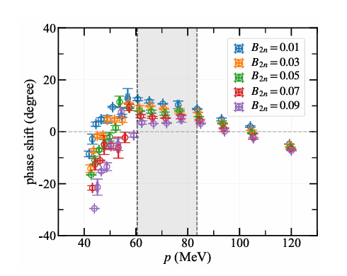
因此,研究人员从四中子与二中子能级提取二中子对–二中子对(2n–2n)的 S 波相移,发现在极低相对动量下相移为负,表明二中子-二中子间的有效相互作用是排斥的;在与实验低能峰相近的能区只表现为微弱的吸引作用(相移峰值约 10°,动量约 60–84 MeV),但并没出现共振所需的相移迅速提高到90°的信号。该动量窗口对应的受限四中子能量约为1.7–3.3 MeV,与实验近阈值结构的能量接近,为“峰来自二中子–二中子关联而非窄共振”提供了可能的理论解释。
此项研究得到了国家自然科学基金委重点项目、教育部学科突破先导项目以及北京航空航天大学等的资助。
论文链接Searching for the Tetraneutron Resonance on the Lattice | Phys. Rev. Lett.
(审核:王菲)
编辑:贾爱平